Л. И. Горелик, Н. В. Кравченко, К. М. Куликов, Ю. С. Трошкин
Государственное унитарное предприятие “Научно-производственное объединение “Орион”, Москва, Россия
Рассмотрена возможность применения относительно низкочастотных фоторезисторов на основе КРТ n-типа для регистрации импульсов излучения СО2-лазера длительностью до 10 нс. Рассчитаны амплитудно- частотные характеристики квазиоптимального фильтра.
В настоящее время как в отечественной, так и в зарубежной оптико-электронной промышленности для приема импульсов СО2-лазера применяются фотодиоды на основе твердого раствора CdxHg1-xTe (КРТ).
При разработке ряда комплексированных приборов (тепловизор-дальномер, теплопеленгатор-дальномер и т. д.) представляет практический интерес возможность использования одного и того же базового фоточувствительного элемента для приема достаточно коротких (до 10 нс) импульсов излучения. В связи с этим была рассмотрена возможность применения относительно низкочастотного фоторезистора для приема импульсного излучения СО2-лазера.
Основой для предложений о возможности применения таких ФЭПП являются следующие априорные данные: высокая вольт-ваттная чувствительность, низкое темновое сопротивление, а также техническая возможность реализации шумов самого фотоэлектрического полупроводникового приемника излучения (ФЭПП).
Целью статьи является рассмотрение возможности регистрации импульсов излучения на длине волны 10,6 мкм длительностью 20-200 нс с пороговой чувствительностью ФПУ на основе относительно низкочастотного КРТ фоторезистора ~10-8 Вт, а также определения основных требований к предусилителю, обеспечивающему оптимальную (квазиоптимальную) обработку сигнала и шума.
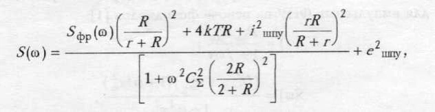
Типовая эквивалентная схема включения фоторезистора для малого переменного сигнала представлена на рис. 1 [1]. В соответствии с эквивалентной схемой напряжение сигнала и спектральная плотность шума на входе предусилителя (ПУ) может быть записана в следующем виде:
(1)
(2)
где
CS - суммарная емкость ФЭПП и ПУ;
r - тепловое сопротивление ФР;
v - круговая частота;
Рlw - падающая на ФР мощность излучения;
R - входное сопротивление;
i2шпу, е2шпу - приведенные спектральные плотности шумовых токов и ЭДС ПУ;
Su(w) - вольтовая чувствительность на частоте w;
Sфp(w) - спектральная плотность генерационно-рекомбинационного (г-р) и теплового шума ФР;
k - постоянная Больцмана;
Т - абсолютная температура.

Рис. 1 Эквивалентная схема включения фоторезистора:
r- тепловое сопротивление ФР;
R - входное сопротивление;
СS - суммарная емкость ФР и ПУ;
i2шпу, е2шпу - приведенные спектральные плотности шумовых тока и ЭДС ПУ;
S(w) - спектральная плотность шума ФР;
Рlw S(w) - источник напряжения сигнала ФР;
Suw - вольтовая чувствительность ФР;
Рlw - мощность входного сигнала
Частотная зависимость вольтовой чувствительности и спектральной плотности шума фоторезистора, без учета шумов 1/f, имеет вид
Suw = Suo / 1 + jwt, (3)
Sфр(w) = V2г-р / 1 + w2 t2 + 4kTpr, (4)
где
t - постоянная времени фоторезистора;
Тр - рабочая температура ФЭПП;
Suo и Uг-p - вольтовая чувствительность и напряжение г-р-шума в области “плато”.
В случае, когда темновое сопротивление ФЭПП достаточно низкое (< 50 Ом), для приема импульсов с Т0,5 < 1 мкс формулы (1) и (2) легко приводятся к виду, обычному для импульсных ФПУ на основе фотодиодов [1]:
Uc(w) = PlwSuo / 1 + jwt; (5)
S(w) = (U2г-p + е2шS) (1 + w2<t 2ш) /1 + w2 t2 , (6)
где
е2шS = 4kTpr + е2шпу + i2шпуr2;
tш = t це2шпу / е2шпу + V2г-р = tk. (5a)
Как известно, величина tш/2T0,5 в значительной степени определяет пороговую чувствительность ФПУ, оптимальную полосу пропускания, а также возможную степень реализации параметров самого фотоприемника, в рассматриваемом случае: Suo, Uг-p.
Общее выражение для порогового потока при регистрации фотоприемным устройством импульсного излучения мощностью

где
Ро - амплитуда импульса излучения;
Т0,5 - длительность импульса излучения по полувысоте имеет вид:
(7)
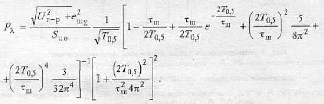
При tш/2Т0,5 < 0,5 выражение для порогового потока упрощается
(8)
При tш/2Т0,5 > 3
(9)
Для проведения оценочных расчетов по приведенным соотношениям воспользуемся типичными значениями параметров:
t ~ 200-700 нс, Uг-р ~ 3-7 нВ/Гц1/2, Suo ~ 10-5 В/Вт. ЭДС шума современных усилителей
ешпу = 1-2 нВ/Гц1/2; в этом случае iшпу r << ешпу. Величина tш/2Т0,5 может меняться от 0,19 до 14,5.
На рис. 2 приведена расчетная зависимость Рl от длительности входного сигнала для типовых параметров фоторезистора, показывающая предельные возможности его реализации.

Рис. 2. Расчетная зависимость импульсной пороговой чувствительности
ПУ от длительности входного сигнала [см. (7)]:
1 - tш = 300 нс; 2 - tш = 200 нс; 3 - tш = 100 нс; 4 - tш = 10 нс
Как следует из расчетов, значения пороговой импульсной чувствительности ФПУ с указанными выше параметрами составляет 10-8-10-9 Вт. По аналогии с [1] легко найти квазиоптимальную реализацию фильтра в ФПУ с фоторезистором
к(jw) = 1 + jwt / (1 + jwtш) (10)
Расчетные зависимости [к(jw)] приведены на рис. 3. Очевидно, что вместо корректирующей цепи (10) можно использовать обычную дифференцирующую и интегрирующую цепи с постоянными времени tш. Поскольку длительность выходного сигнала для описываемого фильтра будет превышать tш, что не всегда приемлемо в практической дальнометрии для случая tш/Т0,5>1, возможно рассмотрение второго RC-фильтра, обеспечивающего двойное расширение переднего фронта выходного сигнала (tmax = 2 Т0,5) и имеющего коэффициент передачи с постоянной времени a = 0,42·2Т0,5 вместо tш [1].

Рис. 3. Расчетные амплитудно-частотные характеристики квазиоптимальных фильтров:
1 - К = 0,2; 2 - К = 0,3; 3 - К = 0,4; 4 - К = 0,5; 5 - К = 0,6; 6 - К = 0,8; 7 - К = 1,0
В этом случае пороговая чувствительность ФПУ с таким фильтром описывается следующим выражением:
(11)
Расчетная зависимость Рl по (11) приведена на рис. 4. Пороговая чувствительность ФПУ для импульсов 20-200 нс составляет 10-8 - 10-10 Вт.

Рис. 4. Расчетная зависимость импульсной пороговой
чувствительности ФПУ от длительного входного сигнала [см. (11)]:
1 - tш = 300 нс; 2 - tш = 200 нс; 3 - tш = 100 нс; 4 - tш = 20 нс
Приведенные расчеты справедливы для случая, когда величины и частотные зависимости вольтовой чувствительности и г-р-шума фоторезистора определяются одним эффективным временем. Это справедливо в случае, если в объеме полупроводника отсутствуют уровни прилипания и неоднородное распределение фотоносителей между контактами [2].
В последние годы разработана и широко применяется для фоторезисторов на основе КРТ технология с “теневыми” контактами. В таких приборах расстояние между контактами L много больше линейных размеров фоточувствительной площадки (D). В работе [3] было показано, что в этом случае эффект “вытягивания”, характерный для малоразмерных фоторезисторов, ослабевает, эффективная постоянная времени фотоприемника увеличивается и, следовательно, увеличиваются значения Suo, Uг-р и r. Применение таких фоторезисторов в составе ФПУ упрощает задачу регистрации импульсов излучения благодаря уменьшению tш. Кроме того, применение ФЭПП с “теневыми” контактами позволяет уменьшить напряжение постоянного смещения, что особенно важно для многоэлементных ФЭПП [4].
В качестве примера рассчитаем пороговый поток и амплитудно-частотную характеристику оптимального фильтра по полученным соотношениям (7, 10, 11) для ФЭПП со следующими типичными параметрами: Uг-р=5 нВ/Гц1/2, Suo= 105 В/Вт, t = 400 нс. Приведенная ЭДС шума на входе предварительного усилителя ешпу = 3 нВ/Гц1/2. Определим пороговый поток для Т0,5 = 50 нс:
Определяем tш по отношению
tш = t· Це2шпу / е2шпу + U2г-р ~200 нс;
Определяем коэффициент В из выражения
B = Це2шпу + U2г-р / Suo ~6·10-14 Вт.
По графикам (см. рис 2 или 4) определяем Рl/В для tш = 200 нс и Т0,5 = 50 нс.
Рl/В = 2·104.
Определяем Рl:
Рl = 1,2·10-9 Вт;
Из рис. 3 для k = 0,5 определяем амплитудно-частотную характеристику оптимального фильтра.
В заключение следует отметить, что приведенные выше расчетные соотношения справедливы и для других типов фоторезисторов при соблюдении указанных условий.
В ы в о д ы
- Показана возможность эффективной регистрации коротких импульсов излучения относительно низкочастотных фоторезисторов. При этом ФПУ на основе ФР из КРТ с типовыми характеристиками может обеспечивать Рпор ~ 10-8 - 10-10 Вт для Тимп = 20-50 нс на длине волны 10,6 мкм.
- Определены основные требования к коэффициенту передачи и шумовым параметрам ФПУ, обеспечивающего оптимальное выделение сигнала для рассматриваемой задачи.
- Показано, что наиболее предпочтительными для регистрации импульсных сигналов являются фоторезисторы на основе КРТ, изготовленные по технологии с “теневыми” контактами.
Л и т е р а т у р а
- Т р и ш е н к о в М. А. Фотоприемные устройства и ПЭС. Обнаружение слабых оптических сигналов. - М.: Радио и связь, 1992.
- Л у к ь я н ч и к о в а Н. Б. Флуктуационные явления в полупроводниках и полупроводниковых приборах. - М.: Радио и связь, 1990.
- S m i t h D. L.//J. Appl. Phys. 1983. V. 54. N 9. Р. 5441-5448.
- Д р у г о в а А. А., Х о л о д н о в В. А., Ф и л а т о в А. В. Оптимизация геометрической структуры фоторезисторов на основе КРТ при неоднородном освещении в температурном диапазоне 20-100 К//ВОТ. Сер. 11. 1998. Вып. 2 (133)-3(134). С. 33-37.
USING OF CdxHg1-хTe BASED PHOTOCONDUCTORS
FOR PULSE CO2-LASER RADIATION DETECTION
L. I. Gorelik, N. V. Kravchenko, K. M. Kulikov, Yu. S. Troshkin
The State Unitary Enterprise “RD&P Centre “Orion”, Moscow, Russia
Possibility of relatively low frequency MCT based n-type photoconductor using for detection of CO2-laser pulses with duration up to 10 ns is considered. Amplitude-frequency characteristics of quasy-optimal filter are calculated.