Л. И. Горелик, К. М. Куликов, Ю. С. Трошкин, Ю. П. Шаронов
Государственное унитарное предприятие “Научно-производственное объединение “Орион”, Москва, Россия
Рассмотрена возможность построения оптического гетеродинного приемника на базе фоторезистора из CdxHg1-xTe n-типа. Рассчитаны зависимости пороговой мощности от оптической мощности гетеродина, напряжения постоянного смещения на фоторезисторе, частоты и шумов предварительного усилителя. Показано, что малоразмерные фоторезисторы могут успешно конкурировать с фотодиодами в полосе до 40 МГц.
Среди всех известных фотоприемников, предназначенных для приема когерентных лазерных сигналов в инфракрасной области спектра, наибольшей чувствительностью обладают гетеродинные приемники. Суть гетеродинного способа приема заключается в том, что принимаемый лазерный сигнал смешивается (интерферирует) на чувствительной площадке фотоприемника с когерентным (опорным) полем оптического гетеродина. На этом составляющая фототока, обусловленная интерференцией сигнального и опорного полей, представляет собой сигнал промежуточной частоты, равной разности частот сигнального и опорного полей. Таким образом, имеет место эффект усиления сигнального поля. При этом появляется возможность увеличить фототок от слабого сигнала до уровня, при котором влияние собственных шумов фотоприемника становится пренебрежимо малым.
Гетеродинный способ фотодетектирования дает максимальный эффект при регистрации лазерного излучения в средней инфракрасной области спектра, где отсутствуют фотодетекторы с внутренним усилением, но существуют высокочувствительные широкополосные фотодиоды на основе InSb, CdxHg1-xTe, PbxSn1-xTe.
Известно, что фоторезисторы могут обладать достаточно высоким внутренним усилением, пропорциональным отношению собственной постоянной времени к времени пролета носителей через образец. Кроме того, как правило, частотная зависимость сигнала фотоответа и напряжения собственных шумов (исключая тепловой шум) описываются одинаковой зависимостью. Следовательно, частотная зависимость пороговой чувствительности фоторезистора определяется не собственной постоянной времени прибора, а соотношением между шумом прибора и тепловыми шумами прибора, нагрузки и шумами предварительного усилителя, на вход которого включен фоторезистор.
В связи с этим целесообразно рассмотреть гетеродинный приемник, состоящий из фоторезистора и предварительного усилителя. В качестве примера рассмотрим фоторезистор на основе материала CdxHg1-xTe (КРТ) n-типа с х ~0,2 со следующими параметрами: равновесная концентрация основных носителей
no ~5·1014 см-3; равновесная концентрация неосновных носителей ро ~2·1012 см-3; подвижность основных носителей µn ~1·105 см2·В-1·с-1; подвижность неосновных носителей mp ~5·102 В-1·с-1; tо - объемное время жизни неосновных носителей ~10-6 с; размеры приемной площадки А-50х50 мкм2; темновое сопротивление
Rт < 50 Ом; толщина фоточувствительного элемента d ~10 мкм; рабочая температура фоторезистора Тр ~80 К. Будем считать, что полоса пропускания входной цепи предварительного усилителя, определяемая постоянной времени tвх-CS· RTRH / (RT + RH)2 где СS - суммарная емкость фотоприемника и входа ПУ, Rн - нагрузочное сопротивление фоторезистора, значительно шире полосы пропускания самого фоторезистора, определяемой временем tо.
Согласно [1], квадрат напряжения фотоответа выражается соотношением:
Uc2(W) - 2Su2PcPг, (1)
где W - круговая частота из диапазона IWc-Wг I (Wc - оптическая частота сигнала; Wг - оптическая частота гетеродина);
Pc - мощность сигнала;
Pг - мощность гетеродина;
Su - вольтовая чувствительность фоторезистора.
Su = q· (h / h n)·RTGF(W), (2)
где q - заряд электрона;
h - квантовая эффективность фоторезистора, h ~0,6;
h n - энергия кванта излучения;
F(W) - частотная зависимость вольтовой чувствительности;
G - коэффициент фотоэлектрического усиления [2].
G = (mn + mp)·toV / I2·F(V), (3)
где U - напряжение постоянного смещения фоторезистора;
функция f(U) характеризует явление вытягивания носителей.
f(U) = 1 + mp toV / I2·[1 - exp(I2 / mp toV )], (4)
В малоразмерных фоточувствительных элементах заметную роль играет поверхностная рекомбинация. При этом объемное время жизни необходимо заменить на эффективное время, определяемое из соотношения:
1 / tэф = 1 / t0 + 2S / d, (5)
где S - скорость поверхностной рекомбинации, S ~103 см·с-1.
Функция f(U) приведена на рис. 1 для двух фоточувствительных элементов с размерами 50х50 мкм2 и 35х35 мкм2; tэф = 5·10-7 с.

Рис. 1. Зависимость f(U) [см. (4)]: 1 - l =50 мкм; 2 - l =35 мкм
Частотная зависимость F(W) имеет вид [3]
F(W) = 1 / [1 + F(W)2 tэф2]1/2 (6)
для случая tэф < Tпр = I / mpU.
Для обратного соотношения
F(W) = sin W Tпр / W Tпр, (7)
Спектральная плотность шумов на входе предварительного усилителя при условии, что температура нагрузочного сопротивления То > Тр и Rн > Rт определяется генерационно-рекомбинационным (Г-Р) шумом фоторезистора и спектральной плотностью ЭДС ПУ (e2шпу):
U2m = U2г-р + e2шпу. (8)
Согласно [3], напряжение Г-Р шума можно представить в виде:
Uг-р = 2V / no· [Rot / V]1/2. (9)
где V - объем фоточувствительного элемента.
Поскольку фотоприемник работает в условии засветки, в выражение (9) надо добавить концентрации носителей, рожденных окружающим фоном и засветкой оптическим гетеродином. Учитывая, что излучение одинаково увеличивает как концентрацию основных, так и неосновных носителей (Dn = Dр), уравнение (9) будет иметь вид:
(10)
Поскольку n0 >> nф, P0 << nф, Dnф << Dnr и
Dnr = hPrtэфf(V) / hnV, (11)
соотношение (8) будет иметь вид:
(12)
Определим пороговую мощность гетеродинного приемника как мощность оптического сигнала, при котором V2c / V2ш - 1.
Учитывая, что темновое сопротивление квадратного фоточувствительного элемента можно представить в виде
RT = 1 / qmn· d(n0 + Dnr). (13)
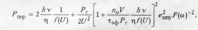
из (1), (2) и (12) окончательно получаем:
(14)
Первое слагаемое характеризует чувствительность в гетеродинном режиме самого фотоприемника. При этом при малых напряжениях смещения (f(U) ~1) получаем Pпор = 2 hn / h, при больших напряжениях смещения (f(U) ~2) роль процессов рекомбинации в объеме полупроводника ослабевает по сравнению с пролетом носителей через объем фоточувствительного элемента и Pпор = 2 hn / h. Это соотношение совпадает с известным соотношением для фотодиода.
Определим оптическую мощность гетеродина Рг, при которой пороговая мощность имеет минимальное значение из условия dPпор / dPr = 0.
Рг.опт = [nоV / tэф] [hn / hf(V)] (15)
Оптимальная мощность гетеродина зависит только от параметров самого фоточувствительного элемента и не зависит от шумов предварительного усилителя и частоты. При засветке фоторезистора оптической мощностью равной, Рг.опт, его вольтовая чувствительность уменьшается в два раза (см. (2) и (13)).
На рис. 2 приведены зависимости пороговой мощности гетеродинного приемника от мощности гетеродина для различных значений собственных шумов предварительного усилителя.

Рис. 2. Зависимость пороговой мощности от мощности оптического гетеродина
при малых напряжениях постоянного смещения:
1 - еш = 3 нВ; 2 - еш = 2 нВ; 3 - еш = 1 нВ
При увеличении постоянного смещения начинает проявляться явление пролета и зависимость Рпор (Рг.) ослабевает (рис. 3).

Рис. 3. Зависимость пороговой мощности от мощности оптического
гетеродина при больших напряжениях смещения:
1 - 3 нВ; 2 - 1 нВ
На рис. 4 представлены зависимости Рпор от напряжения постоянного смещения при Рг ~ Рг.опт.

Рис. 4. Зависимость пороговой мощности от напряжения постоянного смещения:
1 - еш = 3 нВ; 2 - еш = 2 нВ; 3 - еш = 1 нВ
На рис. 5 представлены частотные зависимости пороговой чувствительности при разных напряжениях смещения и при Рг ~ Рг.опт.

Рис. 5. Частотная зависимость пороговой мощности:
1 - Uсм = 0,01; 2 - Uсм = 0,5
Определим граничную частоту гетеродинного приемника как частоту, на которой пороговая мощность увеличивается в два раза. На рис. 6 и 7 представлены зависимости граничной частоты от мощности гетеродина для двух фоторезисторов различных размеров при различных напряжениях смещения и шумах предварительного усилителя. Для фоточувствительного элемента размером 35х35 мкм при постоянном смещении возможно достичь граничную частоту ~40 МГц.

Рис. 6. Зависимость граничной частоты гетеродинного приемника
от мощности оптического гетеродина (размер ФЧЭ 50 х50 мкм):
1 - 1 нВ·Гц-1/2 (0,5 В); 2 - 3 нВ·Гц-1/2 (0,5 В); 3 - 1 нВ·Гц-1/2 (0,1 В); 4 - 3 нВ·Гц-1/2 (0,1 В)

Рис. 7. Зависимость граничной частоты гетеродинного приемника
от мощности оптического гетеродина (размер 35 х35 мкм):
1 - нВ·Гц-1/2 (0,5 В); 2 - 3 нВ·Гц-1/2 (0,5 В); 3 - 1 нВ·Гц-1/2 (0,05 В); 4 - 3 нВ·Гц-1/2 (0,05 В)
Из рисунков видно, что максимальная граничная частота достигается при Рг ~ Рг.опт. Это можно объяснить тем, что при Рг > Рг.опт вольтовая чувствительность уменьшается и, следовательно, возрастает роль шумов предварительного усилителя.
Приведенные расчеты показывают, что гетеродинный приемник на основе фоторезистора из КРТ n-типа может успешно конкурировать с приемниками с фотодиодами в полосе до 40 МГц. Надо иметь в виду, что
Рг. опт для фоторезистора меньше, чем для фотодиода, т. к. равновесные концентрации носителей в базе диода выше, кроме того, стоимость фоторезистора значительно ниже стоимости фотодиодов из аналогичного материала.
Л и т е р а т у р а
- В и л ь я м К. П р а т т. Лазерные системы связи. - М.: Связь, 1972.
- Фотоприемники видимого и ИК-диапазонов. - М.: Радио и связь, 1985.
- А. В а н - д е р - з и л. Флуктуационные явления в полупроводниках. - М.: Иностранная литература, 1961.
CdxHg1-xTe PHOTORESISTORS APPLICATIONS FOR OPERATION
IN HETERODYNE MODE
L. I. Gorelik, K. M. Kulikov, Yu. S. Troshkin, Y. Р. Sharonov
The State Unitary Enterprise “RD&P Centrе “Orion”, Moscow, Russia
Possibility of designing an optical heterodyne detector based on n-type CsxHg1-xTe photoresistor is discussed. Dependences of a thereshold power on a heterodyne optical power, fixed voltage bias on a photoresistor, preamplifier frequency and noises are calculated. It is shown that small-size photoresistors can compete successfully with photodiodes in a frequency band of up to 40 MНz.