В. В. Осипов, В. П. Пономаренко, А. Ю. Селяков
Государственное унитарное предприятие “Научно-производственное объединение “Орион”
Москва, Россия
Рассмотрена физика работы новой смотрящей ИК гибридной матрицы на основе HgCdTe р-n-переходов. Проанализированы предельные пороговые характеристики таких матриц на спектральные диапазоны 3 - 5 и 8 - 14 мкм. Архитектура рассматриваемых матриц намного проще чем у существующих: накопительные емкости занимают всю площадь под фоточувствительной ячейкой, а в качестве элементов коммутации используются сами фоточувствительные р-n-переходы. Накопительные емкости могут быть изготовлены на основе диэлектриков с относительно высокой диэлектрической проницаемостью (типа TiO2 и интегрированных сегнетоэлектриков). В отличие от фото-ПЗС и -ПЗИ, в рассматриваемой матрице не используется перенос заряда между пространственно разнесенными электродами. Определены параметры фоточувствительных и накопительных элементов, при которых реализуются наибольшие времена накопления и пороговые характеристики, близкие к теоретическому пределу. Показано, что в принципе рассматриваемая матрица обладает уникальными параметрами и в ней могут быть подавлены шумы усилителя типа 1/f. Так, матрицы, площадь фоточувствительного р-n-перехода которых составляет 20х20 мкм2, могут работать в BLIP-режиме и иметь время накопления фотосигнала и формат, равные постоянной времени человеческого глаза и 1024х1024 элементов для диапазона 3 - 5 мкм и, соответственно, 300 мкс и 256х256 элементов для диапазона 8–10 мкм при температуре фона 300 К.
1. Введение
Одним из основных направлений развития современной инфракрасной (ИК) техники является создание смотрящих матриц большого формата на спектральные диапазоны 3-5 и 8-14 мкм. Тепловизоры на основе таких матриц не требуют оптического сканирования при формировании сигнала изображения и должны реализовывать преимущества обработки фотосигнала, связанные с большим временем его накопления. Последнее в пределе может быть равно времени кадра, которое, как правило, определяется инерционностью человеческого глаза.
К настоящему времени реализованы крупноформатные гибридные фокальные матрицы различного типа [1], в том числе на основе узкозонных полупроводников HgCdTe [2-5] и InSb [6], а также квантоворазмерных гетероструктур GaAs/AlGaAs [7, 8]. В таких приборах матрица фоточувствительных элементов из соответствующего полупроводника соединяется с помощью индиевых столбиков с кремниевой микросхемой, выполняющей функции накопления, усиления и коммутации фотосигнала. Созданы также планарные матрицы на основе фотодиодов Шоттки из PtSi [9] и гетеропереходов GeSi/Si [10], объединенных с элементами обработки сигнала на единой кремниевой подложке. Разработаны крупноформатные неохлаждаемые болометрические матрицы [11]. Предпринимаются попытки создания перспективных для ИК-матриц фотодетекторов на основе квантоворазмерных гетероструктур GeSi/Si [12], d-легированных квантовых ям [13] и сверхрешеток [14], а также на основе других сложных полупроводников [15, 16].
Вместе с тем, наиболее значительные успехи в области создания матричных фотодетекторов ИК-диапазона с высокими пороговыми характеристиками достигнуты на пути разработки высококачественных фотодиодов на основе HgCdTe, которые на сегодняшний день являются основным элементом для создания фокальных матриц.
Из материала Hg1-xCdxTe с х > 0,2 изготовляются фотодиоды на спектральный диапазон 8-14 мкм, как на основе n+-р [17-20], так и р+-n-переходов [4], причем наиболее отработанной является технология n+-р-переходов. Шум таких р-n-переходов является белым вплоть до частот порядка 1-10 Гц [4, 18, 20]. На основе высококачественных HgCdTe n+-р переходов разработаны крупноформатные матрицы и линейки [3, 5, 17-20]. Из Hg1-xCdxTe состава х > 0,3 также разработаны фотодиоды с малыми темновыми токами, что дало возможность повысить рабочую температуру крупноформатной фокальной матрицы на спектральный диапазон 3-5 мкм вплоть до уровня термоэлектрического охлаждения [2]. В этом заключается главное преимущество фотодетекторов на основе HgCdTe на спектральный диапазон 3-5 мкм перед фотодетекторами из InSb, рабочую температуру которых существенно повысить не удается.
В отличие от фокальных матриц на основе PtSi [9], гетеропереходов GeSi/Si [10], а также квантовых ям и сверхрешеток квантовая эффективность фокальных матриц на основе HgCdTe близка к единице. Фотодетекторы на основе квантовых ям и сверхрешеток к тому же обладают селективным по поляризации поглощением (нормально падающее излучение поглощается слабо) [13, 14, 21].
Пороговые характеристики квантовых фотодетекторов на основе HgCdTe, в принципе, лучше, чем болометрических фотоприемников. В квантовых фотодетекторах, например, при межзонном поглощении ИК-излучения, каждый поглощенный фотон генерирует электронно-дырочную пару, которая и определяет фототок. В тепловых фотоприемниках энергия поглощенного фотона перераспределяется между всеми подсистемами кристалла. Поэтому чувствительность тепловых приемников ниже, чем квантовых. Отметим также, что пороговые характеристики фотодиодов на основе Hg1-xCdxTe состава х > 0,2 лучше, чем у фоторезисторов на основе квантоворазмерных гетероструктур GaAs/AlGaAs [22].
Заметим, что попытки создания на основе узкозонных полупроводников фоточувствительных приборов с зарядовой связью (ПЗС) или с зарядовой инжекцией (ПЗИ) (успешно реализованные на основе Si [23, 24]) также натолкнулись на значительные сложности. Это связано с тем, что в узкозонных полупроводниках туннельный ток существенно ограничивает коэффициент переноса и быстродействие [25]. Кроме того, граница раздела узкозонный полупроводник-диэлектрик характеризуется достаточно высокой плотностью состояний, что естественно ухудшает пороговые характеристики таких матриц. Поэтому достигнутый сегодня формат ПЗС среднего ИК-диапазона на основе HgCdTe [26] существенно меньше, чем формат разработанных к настоящему времени гибридных матриц [2].
Таким образом, в обозримом будущем фотодиоды на основе HgCdTe, по-видимому, останутся основным элементом для создания крупноформатных фокальных матриц с высокими пороговыми характеристиками как среднего, так и дальнего ИК-диапазонов. При этом наиболее перспективным материалом для создания таких приборов являются эпитаксиальные слои HgCdTe, выращенные на подложках из CdTe, CdZnTe или альтернативных подложках [27, 28]. Обладая достаточно высокой однородностью электрофизических параметров такие слои, в отличие от объемных монокристаллов HgCdTe не требуют предварительной механической обработки поверхности, а изготовленные на их основе фотодиоды могут освещаться со стороны подложки, прозрачной для ИК-излучения.
Однако на пути реализации потенциальных преимуществ фокальных матриц длинноволнового ИК-диапазона имеются значительные трудности. Одна из них состоит в сложности получения эпитаксиальных слоев Hg1-xCdxTe состава х > 0,2 большой площади с высоким совершенством поверхности и сложности проведения стыковки с кремниевой микросхемой на большой площади. Однако главная трудность создания крупноформатных матриц на диапазон 8-12 мкм связана с высоким уровнем фонового излучения в таком длинноволновом ИК-диапазоне. Сильный фон приводит к быстрому переполнению накопительных емкостей, расположенных на кремниевой микросхеме, и тем самым обусловливает использование высокой тактовой частоты для считывания фотосигналов. Чем больше формат матрицы (точнее число элементов в ее строке), тем выше должна быть эта тактовая частота, а следовательно и шумовая полоса частот обрабатывающей электроники. Таким образом, чем больше формат матрицы, тем сильнее влияние шумов обрабатывающей электроники на ее пороговые характеристики. Это является принципиальной причиной, ограничивающей формат матриц длинноволнового ИК-диапазона, работающих в BLIP-режиме. Именно по этим причинам формат разработанных на сегодня фокальных ИК HgCdTe матриц [3-5] меньше, чем формат матриц на основе PtSi [9]. Для достижения максимальных пороговых характеристик матрицы большого формата необходимо обеспечить время накопления фотосигнала, соизмеримое с временем кадра.
Таким образом, разработка фокальных матриц длинноволнового ИК-диапазона, с большим временем накопления фотосигнала (в пределе, равном постоянной времени человеческого глаза) является чрезвычайно актуальной задачей.
В данной статье излагается физика работы, рассматриваются фотоэлектрические и пороговые характеристики новой гибридной фокальной матрицы на основе HgCdTe, которая обладает достаточно большим временем накопления. Статья построена следующим образом. В разд. 2 рассматривается архитектура и физика работы матрицы; в разд. 3 анализируется процесс накопления фотосигнала; в разд. 4 изучается зависимость ее чувствительности, обнаружительной способности, условия реализации BLIP-режима от конструктивных параметров, а также рассматривается метод подавления шумов предусилителя типа 1/f;
в разд. 5 приводятся результаты расчетов фотоэлектрических и пороговых характеристик таких матриц на основе Hg1-xCdxTe состава х > 0,2 и х > 0,3.
2. Архитектура и физика работы матрицы
Рассматриваемая гибридная фокальная матрица состоит из матрицы фоточувствительных р-n-переходов на основе эпитаксиальных слоев HgCdTe, соединенных с матрицей накопительных емкостей посредством индиевых столбиков (рис. 1).
Матрица фоточувствительных р-n-переходов освещается со стороны подложки. Мы уже отмечали, что в настоящее время наиболее хорошо отработана технология создания n+-р-переходов на основе Hg1-xCdxTe состава х > 0,2, причем темновой ток таких обратносмещенных р-n-переходов определяется диффузионным механизмом [17, 20]. Поэтому для определения предельных параметров предложенной нами перспективной фокальной матрицы длинноволнового ИК-диапазона мы для определенности будем рассматривать фотодиоды на основе n+-р-переходов (рис. 1).
Сечение ячейки матрицы накопительных емкостей плоскостью, параллельной шине Xj (см. рис.1), изображено на рис. 2. Каждая такая ячейка состоит из двух конденсаторов C1 и С2. Верхние обкладки этих конденсаторов образованы электродами 1 и 2 соответственно, а нижние их обкладки образованы общим

Рис. 1. Архитектура гибридной матрицы :
1 - электрод, соединенный с шиной столбца Yi;
2 - электрод, соединенный с шиной строки Xj;
3 - индиевый столбик;
4 - подложка матрицы накопительных емкостей;
D - слой диэлектрика сотносительно высокой диэлектрической проницаемостью;
5 - подложка матрицы фотодиодов;
6 - пассивирующий диэлектрический слой, р и п - области узкозонного полупроводника р- и n- типа проводимости, соответственно;
7 - зарядовый усилитель. (Показан режим считывания, когда ключи в цепях обратной связи операционных усилителей разомкнуты)

Рис. 2. Структура ячейки матрицы накопительных емкостей:
1 - электрод, соединенный с шиной столбца Yi и образующий верхнюю обкладку конденсатора С1 ;
2 - электрод, соединенный с шиной строки Хj и образующий верхнюю обкладку конденсатора С2;
3 - общий металлический электрод, соединенный с индиевым столбиком 4 и образующий нижние обкладки конденсаторов
С1 и С2;
5 и 6 - слои диэлектрика;
7 - подложка матрицы накопительных емкостей;
D - слой диэлектрика с относительно высокой e
металлическим электродом 3. Этот общий нижний электрод соединен с сильно легированной n+-областью фоточувствительного n+-р-перехода посредством индиевого столбика. Таким образом, конденсаторы С1 и С2 занимают всю площадь ячейки матрицы накопительных емкостей, а функции элемента коммутации, как будет ясно из дальнейшего, выполняет сам фоточувствительный n+-p-переход. Такое оптимальное конструктивное решение обеспечивает время накопления фотосигнала в рассматриваемой матрице много большее, чем в разработанных ранее гибридных матрицах [2-5], в которых значительную часть площади ячейки кремниевой микросхе- мы занимают транзисторные ключи.
Отметим, что максимальный заряд плоского конденсатора равен Q = CV = =ee0AEmax, где e и e0 - диэлектрическая проницаемость диэлектрика и электрическая постоянная, соответственно; Emax = V/d - поле пробоя диэлектрика; А - площадь конденсатора С; d - толщина диэлектрического слоя. Для большинства диэлектриков Emax > 106 В/см, поэтому пробивное напряжение накопительных емкостей на основе сверхтонких диэлектрических слоев довольно мало (20). Для повышения величин емкостей конденсаторов С1 и С2 рассматриваемая структура металл-диэлектрик-металл может быть изготовлена на основе диэлектрика с достаточно высокой диэлектрической проницаемостью, например TiO2 [29, 30]. Возможность применения таких диэлектриков, получение которых требует, как правило, достаточно высоких температур отжига, недопустимых для HgCdTe, связана с тем, что матрицы фоточувствительных и накопительных элементов в гибридной конструкции изготовляются раздельно. Отметим, что в случае, когда матрица накопительных емкостей изготовляется на подложке из диэлектрика, емкость шины Xj пренебрежимо мала.
Большое время накопления фотосигнала в рассматриваемой матрице обусловлено эффективным использованием площади ячейки матрицы накопительных элементов и применением диэлектриков с относительно высокой диэлектрической проницаемостью. В этом заключается главное преимущество предложенной нами фокальной матрицы по сравнению с разработанными ранее гибридными фокальными матрицами на основе HgCdTe [2-5] и планарной матрицей на основе InSb [31].
Итак, каждая ячейка предложенной нами фокальной матрицы состоит из одного фоточувствительного р-n-перехода и двух емкостей. Структура соединения фоточувствительных р-n-переходов и накопительных ячеек в рассматриваемой матрице показана на рис. 1 и рис. 3. Все электроды 1 каждого из столбцов матрицы накопительных элементов соединены между собой узкими проводящими перемычками (шинами) Yi, а все электроды 2 каждой из строк этой матрицы соединены между собой шинами Хj, изолированными от шин Yi. Каждая из шин Хj соединена с инвертирующим входом соответствующего операционного усилителя (ОУ), который работает в режиме усилителя заряда и поддерживает напряжение, близкое к нулю на каждой шине Хj. Слой полупроводника р-типа, выполняющий роль подложки матрицы фоточувствительных n+-р-переходов, заземлен, т. е. на нем поддерживается напряжение, равное нулю. Конденсатор С2 фактически соединен параллельно с n+-р-переходом, так как на подложке матрицы фоточувствительных n+-р-переходов поддерживается напряжение, равное нулю, а электрод 2 соединен с виртуальным нулем на входе операционного усилителя (см. рис. 3).

Рис. 3. Эквивалентная схема матрицы в режиме накопления (а),
в режиме считывания (b), и в режиме измерения ЭДС шума ОУ (в):
1 - электрод 1-й ячейки матрицы накопительных емкостей, соединенный с шиной столбца Yi ;
2 - электрод 2-й ячейки матрицы накопительных емкостей, соединенный с шиной строки Хj ;
3 - зарядовый усилитель, в котором ключ в цепи обратной связи ОУ замкнут в режиме накопления (см. рис. а) и разомкнут
в режиме считывания (см. рис. б);
C3 - емкость в цепи обратной связи ОУ; U - напряжение, подаваемое на столбец в режиме накопления.
Знаками + и - обозначены знаки зарядов, возникающих на соответствующих обкладках конденсаторов С1 и С2;
Iс1, Ic2 - токи смещения, протекающие через конденсаторы С1 и С2, соответственно: I= Ajc (-Wp(0),t) - ток проводимости в точке - Wp(0);
R1 и R2 - малые сопротивления, подсоединенные к ОУ в режиме измерения ЭДС-шума
На рис. 3, а, б изображены эквивалентные схемы матрицы в режимах накопления и считывания, соответственно. Заметим, что аналогичная электронная схема была апробирована вначале на основе дискретных радиотехнических элементов и фотодиодов из InSb и Si [32], а затем была использована для создания интегральной фокальной матрицы среднего ИК-диапазона на основе InSb [31].
Накопление фотосигнала происходит непрерывно и одновременно на всех ячейках фокальной матрицы, а считывание осуществляется сразу со всего выбранного столбца и происходит за время, намного меньше времени накопления. При этом все столбцы опрашиваются за время накопления фотосигнала.
В начальный момент режима накопления на все шины Yi (см. рис. 1,3, а), т. е. на все электроды 1, подается напряжение U > 0. Это напряжение практически мгновенно перераспределится между емкостью С1 и емкостью параллельно соединенных р-n- перехода и конденсатора С2. В результате р-n-переход сместится в обратном направлении, а на электроде 1 возникнет положительный заряд, на электроде 2 - отрицательный.
Отметим, что время накопления фотосигнала в данной матрице, как будет видно из дальнейшего, тем больше, чем больше падение напряжения на р-n-переходе и на емкостях С1 и С2 в начальный момент времени. Максимальная величина падения напряжения на р-n-переходе ограничена его пробоем, а максимальное напряжение на конденсаторах С1 и С2 ограничено пробоем диэлектрика, на основе которого изготовлены эти емкости (см. рис. 2).
Под действием сигнального и фонового излучения, а также тепла в высокоомной р- области обратносмещенного n+-р-перехода генерируются электронно-дырочные пары. В результате фототока и темнового тока р-n-перехода происходит разрядка его емкости и изменение напряжений на емкостях С1 и С2. При этом абсолютная величина напряжения на емкости С1 увеличивается, а на С2 - уменьшается, и чем больше фотонов попадает на р-n-переход, тем сильнее изменение напряжений на емкостях С1 и С2 в данной ячейке. Математическое описание этого процесса, определяющего все основные параметры матрицы, дано в разд. 3. Здесь же мы подчеркнем, что изменение напряжения на емкости С2 пропорционально числу фотонов, упавших на данную ячейку, т. е. по существу является фотосигналом. Отсюда вытекает, что для обеспечения линейного режима напряжение на р-n-переходе под действием излучения не должно уменьшаться до нуля, а тем более менять знак.
Считывание накопленного на емкостях фотосигнала происходит одновременно со всех ячеек выбранного столбца Yi. Для этого на шину Yi подается нулевой потенциал и размыкаются ключи в цепях обратной связи всех зарядовых усилителей (см. рис. 3, б). Подача на шину Yi нулевого потенциала означает заземление электродов 1 емкостей С1 i-го столбца (см. рис. 1). Рассмотрим этот процесс на примере ji-й ячейки, находящейся на пересечении j-й строки и i-го столбца (см. рис. 3, б).
При заземлении электрода 1 опрашиваемой ячейки происходит подключение напряжения U1 емкости С1 к р-n-переходу. В результате чего р-n-переход, который и после воздействия излучения слабо смещен в обратном направлении, переключается в прямом направлении напряжением U1 порядка нескольких вольт. Это приведет к быстрой разрядке конденсатора С1 через прямосмещенный р-n-переход и установлению на нем напряжения, близкого к нулю. Одновременно с разрядкой конденсатора С1 начинается разрядка конденсатора С2 через прямосмещенный р-n- переход и зарядовый усилитель, точнее через емкость С3 в цепи обратной связи операционного усилителя (см. рис. 3). Таким образом, заряд конденсатора С2, который зависит от интенсивности светового сигнала, действительно является мерой величины этого сигнала.
Подчеркнем существенный момент, что изложенный процесс считывания сигнала с i- го столбца практически не влияет на процесс накопления фотосигнала в ячейках всех остальных столбцов. Это связано с тем, что как в процессе считывания, так и в процессе накопления напряжение на всех шинах Хj остается равным нулю с точностью до нескольких милливольт. Однако процесс накопления сигнального и фонового зарядов в ячейках, принадлежащих какой-либо одной строке, оказывает влияние на процесс считывания накопленного заряда с опрашиваемой ячейки данной строки и может в принципе привести к некоторому (примерно в раз) ухудшению пороговых характеристик рассматриваемой фокальной матрицы.
Из изложенного также следует, что процесс считывания не связан с переносом накопленного заряда вдоль границы раздела полупроводник-диэлектрик между пространственно разнесенными электродами. Поэтому шум, связанный со случайностью процессов захвата и выброса носителей с поверхностных состояний на границе раздела полупроводник-диэлектрик, в данной матрице (в отличие от фото-ПЗС и -ПЗИ матриц [33]) не является определяющим. Это одно из главных преимуществ рассматриваемой гибридной фокальной матрицы по сравнению с фото-ПЗС и -ПЗИ матрицами.
3. Анализ процесса накопления
Мы уже отмечали, что в рассматриваемой фокальной матрице фоточувствительные р-n-переходы освещаются со стороны слабо легированной р-области. Поэтому распределение концентрации неравновесных носителей и потенциала по плоскости р-n- перехода является однородным, и математическое описание процессов накопления в ячейке фокальной матрицы можно проводить в рамках одномерной модели с использованием эквивалентной схемы, изображенной на рис. 3, а, б.
Отметим, что в фотодиодах на основе узкозонных полупроводников могут возникать туннельные токи утечки в локальных областях по периметру сильнолегированной области вблизи выхода р-n-перехода к границе раздела полупроводник-диэлектрик [34-36]. Эти поверхностные туннельные токи и взрывные шумы р-n-переходов на основе узкозонных полупроводников, как показано в работах [37-39], связаны с относительно большим встроенным зарядом диэлектрика. Однако сегодняшний уровень технологии позволяет изготовить р-n-переходы на основе Hg1-xCdxTe состава х > 0,2, в которых при обратном смещении будет доминировать диффузионный ток [4, 17, 20].
Мы уже упоминали выше, что в процессе накопления на шине Yi поддерживается напряжение U, большее нуля. Однако поскольку напряжение такой полярности смещает р-n-переход в обратном направлении, для дальнейшего анализа процесса накопления удобно считать, что потенциал точки А (см. рис. 3, а) равен 0, а потенциал точки G равен U.
В одномерном случае уравнение непрерывности полного тока есть:
(1)
где r - плотность заряда; хc(x, t) - плотность тока проводимости; ось х перпендикулярна плоскости р-n-перехода.
Проинтегрируем (1) по x от точки х = -Wp(0) (границы области пространственного заряда (ОПЗ) в р-области в начальный момент времени t = 0) на рис. 3, а до точки х = 0, где Na = Nd (металлургическая граница р-n-перехода), и умножим его на площадь р-n-перехода А. В результате получим:
(2)
Здесь учтено, что интеграл от левой части уравнения (1), умноженный на A, есть производная по времени отрицательного заряда Q- в р-области ОПЗ р-n-перехода.
Граница квазинейтральной р-области с ОПЗ в момент времени t = 0 (точка х = - Wp(0) на рис. 3, а) в другие моменты времени t > 0 находится в квазинейтральной области р-типа. Поэтому напряженность электрического поля в ней во все моменты времени равна нулю и следовательно равен нулю ток смещения, т. е. полный ток в этой точке равен току проводимости. Тогда из закона Кирхгофа следует, что
Aх(- Wp(0),t) + IC2 = IС1, (3)
где IС1 , IС2 - токи смещения, протекающие через конденсаторы С1 и С2 (см. рис. 3, a), которые соответственно равны
(4)
Заметим, что согласно сделанному в начале этого пункта допущению, -U потенциал точки G (см. рис. З, а), a V(t) - напряжение на р-n-переходе меньше 0. Из (3) и (4) следует, что
(5)
Отметим, что время накопления в рассматриваемой фокальной матрице достаточно велико по сравнению с временем жизни неравновесных носителей в Hg1-xCdxTe p-типа состава х > 0,2, которое составляет величину порядка микросекунды при Т = 77 К. Это позволяет рассматривать процесс накопления фотоносителей как квазистационарный и, в частности, для области р-типа использовать стационарное диффузионное уравнение для электронов. Возможность отбрасывания производной по времени от концентрации неосновных носителей (dn/dt) в этом диффузионном уравнении имеет простой физический смысл. В процессе накопления на р-n-переходе поддерживается обратное смещение, поэтому концентрация неосновных носителей - электронов в квазинейтральной области p-типа остается экспоненциально малой по сравнению с равновесной. На границе ОПЗ - квазинейтральная область p-типа накапливаются основные носители - дырки, а электроны накапливаются на границе ОПЗ - квазинейтральная область n-типа. Таким образом накопление темнового и фототока происходит на барьерной емкости р-n-перехода, а не на диффузионной емкости, которая мала при обратном смещении р-n-перехода [40].
Известно [33], что для стационарного случая плотность электронного тока на границе ОПЗ р-n-перехода и квазинейтральной области р-типа хn(- Wp(t)можно записать в виде
(6)
где q - заряд электрона; k - постоянная Больцмана; Т - температура; mn - подвижность электронов; tn - время жизни электронов; ni - собственная концентрация; Na - концентрация акцепторов в р-области (подложке матрицы фоточувствительных р-n-переходов); h - квантовая эффективность поглощения ИК излучения; хb и хs - плотности потока фотонов фонового и сигнального излучения, соответственно; Wp(t) - ширина ОПЗ в области р-типа в момент времени t (см. рис 3, а).
Предположим, что в рассматриваемом р-n-переходе доминирует диффузионный ток, а генерация и рекомбинация носителей в ОПЗ мала. Более того, толщина квазинейтральной области р-типа намного больше характерной длины поглощения ИК- излучения, поэтому сигнальное и фоновое излучение полностью поглощается в этой области, а фотогенерацией в ОПЗ можно пренебречь. Отсюда следует, что плотности электронного и дырочного токов в ОПЗ постоянны, т. е. выполняется равенство хn(0,t) = хn(- Wp(t),t). В силу того, что концентрация донорной примеси в n+-области Nd намного больше концентрации акцепторной примеси в области р-типа (Nd >> Na), основной вклад в темновой ток n+-р-перехода вносит электронный ток области р-типа. Поэтому на металлургической границе р-n-перехода (в точке х = 0 на рис. 3, а) плотность тока электронов намного больше плотности тока дырок (хn(0,t) >> (хp(0,t)), т. е. ток проводимости практически равен диффузионному току электронов:
хc(0,t) = хn(0,t) = хn(- Wp(t),t) . (7)
Подставляя уравнения (5) и (7) в (2) и используя (6), получим уравнение, описывающее процесс накопления заряда в ячейке рассматриваемой фокальной матрицы:
(8)
Здесь производная по времени отрицательного заряда, накапливаемого на границе ОПЗ с квазинейтральной p-областью, по определению равна [40]:
(9)
где Сpn - барьерная емкость р-n-перехода.
Поясним теперь физический смысл уравнения (8). В процессе накопления термо- и фотогенерируемых носителей происходит перезарядка как емкости р-n-перехода (с этим процессом связан член dQ-/dt), так и емкостей С1 и С2 (с этим процессом связан член (С1 + C2) dV(t)/dt). За счет совместной перезарядки емкости р-n-перехода и емкостей С1 и С2 в рассматриваемой матрице можно достичь времен накопления намного больших, чем для обычного режима накопления, когда перезаряжается только барьерная емкость р-n-перехода [33]. Для достижения большого времени накопления фотосигналов необходимо чтобы С1 + С2 >> Сpn. При выполнении этого условия уравнение (8), описывающее процесс накопления заряда в ячейке рассматриваемой фокальной матрицы примет вид:
(10)
Отметим, что при записи уравнения (10) мы пренебрегли туннельным током р-n- перехода, так как предполагаем, что приложенное к нему напряжение, в начальный момент времени, а следовательно, и во все остальные, выбирается меньше напряжения его пробоя.
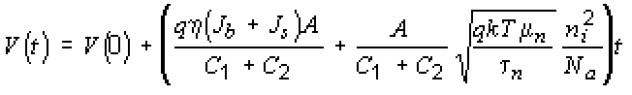
Решение уравнения (10) при условии, что в момент времени t = 0 напряжение на р-n-переходе было равно V(0), примет вид
(11)
4. Фотоэлектрические и пороговые характеристики
Основной фотоэлектрической характеристикой фокальных матриц, работающих в режиме накопления, является зарядовая чувствительность SQ, по определению равная:
(12)
где Qs - сигнальный заряд, Ps - мощность сигнального излучения.
В рассматриваемой фокальной матрице сигнальным зарядом является заряд QС2 на конденсаторе C2, равный C2 V(t). Для простоты будем считать, что падающее излучение монохроматическое, т. е. Ps = hwAхs . Тогда из (11) получим:
(13)
где hw - энергия кванта падающего излучения; tin - время накопления фотосигнала; heff - величина, определяющая эффективность накопления фотосигнала в данной матрице:
(14)
Выражение (14) отражает эффект уменьшения квантовой эффективности, обусловленный тем, что в рассматриваемой фокальной матрице накопление фотосигнала происходит на емкостях C1 и C2, а считывание лишь с емкости С2. Для того чтобы сделать величину heff максимально близкой к квантовой эффективности поглощения емкости С1 и С2 должны быть выбраны так, чтобы:
С2 >> С1. (15)
Рассмотрим теперь условия, при которых неравенство (15) может быть реализовано, а также получим соотношения между емкостями С1 и С2, которые вытекают из ограничений на величины напряжений V(0) и U, налагаемых пробоем фоточувствительного р-n-перехода и диэлектрика, на основе которого изготовлена емкость С1 соответственно.
Очевидно, что напряжение, подаваемое в начальный момент времени t = 0 на р-n-переход должно быть меньше напряжения его пробоя Vbpn:
ъV(0) ъ < Vbpn, (16)
а напряжение на конденсаторе С1 в момент окончания накопления t = tin должно быть меньше напряжения пробоя диэлектрика Vb, на основе которого изготовлен этот конденсатор:
U - gъV(0) ъ < Vb, (17)
здесь U - внешнее напряжение, поданное на электроды 1 (см. рис. 1), т. е. на шины Yi (рис. 3, а), а g - параметр, который задается соотношением g = V(tin)/V(0); его значения лежат в интервале между 0 и 1.
Принимая во внимание, что в рассматриваемой матрице С2 >> Сpn , можно записать, что в момент времени t = 0 напряжения на емкостях С1 и С2 удовлетворяют очевидному соотношению:
С1(U - ъV(0) ъ) = С2 фV(0) ф. (18)
Определяя величину U из (18) и подставляя ее в (17), получим неравенство:
(19)
Из (19) следует, что условие высокой эффективности накопления фотосигнала (15) может быть выполнено только тогда, когда напряжение пробоя диэлектрика намного больше напряжения пробоя р-n-перехода, т. е. когда
Vb >> Vbpn . (20)
Отметим, что напряжение пробоя р-n-переходов на основе Hg1-xCdxTe состава х > 0,3 примерно равно 5 В, а состава х > 0,2-0,5 В [20]. Поэтому, согласно (20), квантовая эффективность рассматриваемой фокальной матрицы длинноволнового ИК-диапазона будет близка к квантовой эффективности поглощения, если напряжение пробоя конденсатора С1 будет превышать 5 В. Это соответствует полю пробоя, превышающему
5·105 В/см при толщине диэлектрика 1000 A°. Для фокальных матриц среднего ИК-диапазона, как будет показано ниже, необходимы значительно меньшие величины емкостей С1 и С2 , чем для матриц длинноволнового ИК-диапазона, поэтому толщина диэлектрика, на основе которого изготовлен конденсатор C1, может превышать величину 1000 A°. Кроме того, TiO2 обладает весьма значительным полем пробоя
(1-5)·106 В/см [30]. Таким образом, при надлежащем выборе диэлектриков для конденсаторов С1 и С2 можно добиться того, что квантовая эффективность рассматриваемой фокальной матрицы будет близка к единице.
Параметрами, характеризующими пороговые характеристики фотодетекторов, являются мощность, эквивалентная шуму NEP, и обнаружительная способность D[41], которые для систем с накоплением фотосигнала равны:
(21)
где
- дисперсия флуктуаций заряда на выходе прибора.
При рассмотрении пороговых характеристик матрицы необходимо учитывать шумы, связанные с флуктуациями темнового тока фоточувствительного р-n-перехода и фонового излучения, а также шум зарядового усилителя и так называемый kTC-шум [33].
Отметим, что время считывания фотосигнала в матрице достаточно мало (см. разд. 2), поэтому шум усилителя типа 1/f не играет существенной роли в процессе считывания. Напротив, время накопления фотосигнала велико и шум усилителя типа 1/f может определять пороговые характеристики матрицы. Для достижения высоких пороговых характеристик матрицы предлагаем схему подавления шума усилителя типа 1/f . В режиме накопления отсоединим зарядовые усилители от строк матрицы и заземлим все шины Хj (см. рис. 3, в). В этом случае процесс накопления в ячейках любой j-й строки никак не изменится (см. разд. 2), но шумы усилителя не будут влиять на пороговые характеристики матрицы. Однако при считывании накопленного сигнала зарядовые усилители подключаются к строкам матрицы.
Пусть строка матрицы содержит n ячеек, подключенных к одному зарядовому усилителю. В этом случае время считывания фотосигнала в матрице не может превышать tin/n. Уменьшение времени считывания приведет к возрастанию полосы частот усилителя и тем самым к увеличению его шумов. Пусть шум усилителя намного меньше шумов фонового излучения, т. е. условие BLIP-режима в матрице (см. уравнение (27) ниже) выполняется с большим запасом. Эта ситуация может реализовываться, например, в матрицах не слишком большого формата, в которых время считывания фотосигнала не слишком мало. В таких матрицах время считывания фотосигнала может быть уменьшено по сравнению с tin/n, так как некоторое увеличение полосы частот усилителя не слишком сильно повлияет на пороговые характеристики. Таким образом, в таких “малоформатных” матрицах большую часть времени накопления шины строк Хj могут быть заземлены, и влияние шумов усилителя типа 1/f на пороговые характеристики будет крайне малым.
В матрицах большого формата время считывания не может быть существенно меньше tin/n и усилители подключены к строкам матрицы практически все время накопления. Однако и в этом случае шум усилителя типа 1/f может быть подавлен. Для этого нужно после считывания заряда с какой либо ячейки отключить шины строк Хj от операционных усилителей на короткое время t < tin/n и заземлить их. В течение этого времени мы можем измерить шум каждого операционного усилителя не нарушая процесса накопления сигнала. Для этого подключим малое сопротивление R1 между инвертирующим и неинвертирующим входами каждого операционного усилителя, а R2 - в цепь его обратной связи (рис. 3, в). Заметим, что R1 и R2 могут быть сопротивлениями открытых транзисторных ключей. В результате получим обычную схему измерения электродвижущей силы (ЭДС) шума операционного усилителя [42]. В принципе за время накопления измерение шума можно выполнить n -1 раз. Это позволяет усреднить полученную выборку по одному или нескольким временам накопления. В результате получим ЭДС шума усилителя, обусловленную низкочастотными флуктуациями (с граничной частотой, соответствующей периоду усреднения). Это позволяет исключить вклад низкочастотных шумов усилителя в накопленный сигнал при дальнейшей обработке сигнала.
Мы уже отмечали выше, что спектр шума высококачественных HgCdTe р-n-переходов является белым вплоть до частот порядка 1 - 10 Гц [4, 18, 20]. В тоже время kTC-шум может быть устранен посредством использования метода двойной коррелированной выборки [33]. Кроме того, в современных фоточувствительных р-n-переходах на основе Hg1-xCdxTe при не слишком малом угле зрения на фон фоновый ток намного больше темнового [3, 17, 20]:
(22)
Это означает также [41], что шум таких фотодиодов в основном определяется флуктуациями фонового излучения, т. е. для отдельного фотодиода выполнено условие BLIP-режима. Поэтому при расчете пороговых характеристик рассматриваемой фокальной матрицы будем учитывать только шум, связанный с флуктуациями фонового излучения и шум зарядового усилителя. Эти шумы не коррелированы, поэтому суммарная дисперсия флуктуаций заряда на выходе прибора равна сумме дисперсий каждого шума:
(23)
где
- дисперсия флуктуаций заряда на конденсаторе С2, определяемая флуктуациями фонового излучения, в момент времени tin, который соответствует окончанию процесса накопления; C2S Sam Df - дисперсия флуктуаций заряда, определяемых шумом зарядового усилителя; Df - полоса частот усилителя; CS - суммарная емкость, подключенная ко входу зарядового усилителя; Sam - спектральная плотность шума усилителя. Отметим, что второе слагаемое в (23) увеличивается с ростом числа ячеек в строке прибора. Это накладывает определенные ограничения на формат рассматриваемой фокальной матрицы, которые обсуждаются ниже.
Рассмотрим предельные пороговые характеристики матрицы в случае, когда выполнено условие (22), т. е. шумы в ней определяются только флуктуациями фона, и вторым слагаемым в (23) можно пренебречь. Кроме того, учтем, что поскольку рассматриваемая фокальная матрица является пороговым прибором, то для нее плотность потока сигнального излучения намного меньше плотности потока фонового излучения (хs << хb). При выполнении этих условий из уравнения (11) получим, что время накопления в рассматриваемой фокальной матрице определяется выражением
(24)
Дисперсия флуктуаций заряда на конденсаторе С2 в момент времени tin определяется выражением для дробового шума [23, 24, 41]:
(25)
По определению, удельная обнаружительная способность отдельной фоточувствительной ячейки рассматриваемой фокальной матрицы равна [41]: D* = DЦADf , где Df = 1/tin .
Подставляя в последнее выражение формулы (13), (24), (25) получим, что:
(26)
Из (26) видно, что удельная обнаружительная способность зависит от отношения C1/C2, и для достижения высоких пороговых характеристик рассматриваемой фокальной матрицы необходимо выполнить условия (15), а следовательно и (20).
Обсудим теперь ограничение на формат рассматриваемой фокальной матрицы, которое связано с влиянием шумов зарядового усилителя (см. рис. 3). Из (23) видно, что неравенство
(27)
определяет условие BLIP-режима матрицы с учетом шумов устройства считывания сигнала. Из рис. 1 и 3, а, б видно, что суммарная емкость СS, подключенная ко входу j-го зарядового усилителя, включает в себя сумму по всем ячейкам параллельно соединенных емкостей С1 и Сpm, последовательно соединенных с емкостью С2, а также емкость шины строки Хj и сумму по всем ячейкам емкостей перекрестий шины этой строки с шиной каждого столбца Yi. В дальнейшем мы будем полагать, что технология изготовления матрицы накопительных емкостей такова, что емкостями шин и их перекрестий можно пренебречь. Это предположение оправдано, например, в том случае, если матрица накопительных емкостей изготовлена на подложке из диэлектрика и толщина изолирующего слоя 6 (см. рис. 2) достаточно велика. В этом случае суммарная емкость, подключенная ко входу j-го зарядового усилителя определяется выражением
(28)
При выполнении условия (15) выражение (28) упрощается:
(29)
Таким образом, если диэлектрик, на основе которого изготовлен конденсатор C1, обладает достаточно высоким напряжением пробоя, то суммарная емкость, от которой зависят шумы зарядового усилителя, определяется только емкостями р-n-переходов и конденсаторов С1 всех ячеек строки матрицы.
Время, которое можно затратить на считывания сигналов с каждого столбца матрицы, не может превышать tin /n. Поэтому полоса частот усилителя определяется выражением
Df = 2n / tin . (30)
Отметим, что полоса частот усилителя достаточна велика. Например, для спектрального диапазона
3-5 мкм п > 500, tin > 20 мс, Df = 50 кГц, а для спектрального диапазона 8-10 мкм п > 100, tin > 0,5 мс,
Df = 400 кГц (см. разд. 5).
Подставляя (24), (25), (29) и (30) в (27) и учитывая (15), найдем что условия BLIP- режима для рассматриваемой фокальной матрицы выполняются, когда число элементов на один усилитель в ее строке удовлетворяет неравенству
(31)
Подчеркнем, что условие (31) не определяет непосредственно формат рассматриваемой матрицы, а лишь число элементов в ее строке, которые могут быть подсоединены к одному зарядовому усилителю. Формат матрицы может быть по крайней мере вдвое больше, чем величина n, определяемая из (31). Это связано с тем, что каждую строку матрицы можно разбить по меньшей мере на две группы элементов, каждая из которых будет соединена своей шиной строки, причем каждая из этих двух шин будет выходить на свою сторону матрицы и будет соединена со своим зарядовым усилителем. Считывание сигнала будет производиться параллельно, с каждой из половинок строки матрицы. Кроме того, каждую строку матрицы можно разбить на несколько групп по n элементов (где n определяется неравенством (31)), каждая из которых соединяется отдельной шиной.
5. Оценки характерных параметров гибридных матриц на основе HgCdTe состава х > 0,2 и х > 0,3
Для достижения предельных пороговых характеристик и упрощения конструкции крупноформатных тепловизионных матриц и всего фотоприемного устройства в целом (включая системы обработки сигнала) необходимо, чтобы время накопления фотосигнала в ячейках фокальной матрицы составляло максимально возможную величину, т. е. было порядка постоянной времени человеческого глаза. По существу это связано с тем, что для белого шума, каким является шум фотодетектора в BLIP-режиме, накопление представляет собой оптимальную фильтрацию. Пороговые характеристики ИК-фотодетекторов с накоплением сигнала в случае, когда шум типа 1 / f играет существенную роль, рассмотрены в [43].
С другой стороны, основной характеристикой фокальных матриц как преобразователей изображения является разрешающая способность, которая тем выше, чем меньше размер фоточувствительных элементов и расстояние между ними. В фокальных матрицах ИК-диапазона минимальные значения этих параметров ограничены дифракционными эффектами и составляют величину порядка 15-30 мкм. В гибридных фокальных матрицах ИК-диапазона под каждой фоточувствительной ячейкой на кремниевой подложке располагаются накопительные элементы и элементы коммутации. Очевидно, что для обеспечения высокой разрешающей способности таких матриц эти элементы должны занимать площадку, линейные размеры которой не превышают период матрицы, т. е. величину порядка 30-60 мкм. В то же время, в отличие от видимого диапазона, особенность регистрации изображения в длинноволновом ИК- диапазоне связана с сильным фоновым излучением. Поэтому одной из принципиальных проблем разработки фокальных матриц ИК-диапазона является создание на такой малой площадке накопительного элемента достаточно большой емкости. Покажем, что в отличие от разработанных ранее матриц, рассмотренная выше гибридная матрица нового типа по существу позволяет решить данную проблему.
Мы уже упоминали выше, что накопительные емкости в рассматриваемой матрице могут быть изготовлены на основе диэлектрика с достаточно большой диэлектрической проницаемостью e,. Оценим теперь величину e, необходимую для достижения времени накопления, равного времени кадра Tf в матрице среднего и дальнего ИК-диапазонов. Подставим в выражение (24) формулу для емкости плоского конденсатора С2 = e e0A2 / d, где A2 - площадь конденсатора С2; d - толщина слоя диэлектрика с большой диэлектрической проницаемостью; e0 - электрическая постоянная. Тогда, приняв во внимание, что при выполнении условия (15) h ~ 1 и А2 ~ А получим
(32)
где Еmax = чV(0)ч / d - максимальное поле, превышение которого приводит к пробою диэлектрика. В большинстве диэлектриков Emax > 106 В/см, поэтому накопительные емкости на основе сверхтонких диэлектрических слоев будут иметь очень маленькое напряжение пробоя. Таким образом достичь большого времени накопления в рассматриваемой матрице можно только путем создания накопительных емкостей на основе диэлектриков с достаточно высокой диэлектрической проницаемостью. Из (32) следует, что диэлектрическая проницаемость ef, обеспечивающая время накопления, равное времени кадра, определяется выражением
(33)
Для температуры фона 300 К и телесного угла 2p ср плотность потока фоновых квантов в спектральном диапазоне 3-5 мкм равна 5·1015 cм-2с-1, а в диапазоне 8-10 мкм - 2·1017 cм-2c-1. Для угла зрения на фон 60° эти величины равны 1,25·1015 и 5·1016 cм-2c-l, соответственно. Полагая Tf = 20 мс, из формулы (33) получим, что для спектрального диапазона 3-5 мкм ef = 90, а для диапазона 8-10 мкм ef = 3,6·103.
Отметим, что соединение ТiО2 обладает наиболее высокой диэлектрической проницаемостью среди простых оксидов металлов (e = 150, и пробивное поле Еmax = (1-5)·106 В/см) [30], а некоторые сегнетоэлектрики обладают диэлектрической проницаемостью, превышающей 103. Наибольший интерес для нас представляют так называемые интегрированные сегнетоэлектрики [44] с температурой фазового перехода ниже 77 К. Наиболее перспективным сегнетоэлектриком для смотрящих матриц длинноволнового ИК-диапазона может быть SrTiO3, диэлектрическая проницаемость которого e = 2000 при Т = 77 К [45]. Таким образом разработка интегрированных сегнетоэлектриков, находящихся в парафазе при Т > 77 К и обладающих e > 4·103, представляется чрезвычайно актуальной проблемой.
Оценим величины достижимых времен накопления в рассматриваемой крупноформатной фокальной матрице на спектральный диапазон 3-5 мкм. Отметим, что в отсутствии фона, при обратном смещении в р-n-переходах на основе Hg1-xCdxTe состава х > 0,3 доминирует генерационный ток [2]. Теоретический анализ физических процессов в планарной фокальной матрице нового типа для случая доминирования генерационного тока выполнен в [31], где показано, что в случае, когда условие BLIP-режима выполняется для единичного фотодиода, зарядовая чувствительность и время накопления определяются выражениями подобными (13) и (24). Таким образом, в случае, когда условие BLIP-режима для единичного диода выполняется, теория, развитая в данной работе, применима и для расчета параметров новых гибридных фокальных матриц на основе Hg1-xCdxTe состава х > 0,3.
Рассмотрим случай, когда накопительные емкости С1 и С2 изготовлены на основе тонких слоев диэлектрика TiО2. В дальнейших расчетах будем предполагать, что величина пробивного поля равна
2·106 В/см, e = 150 [30] и величина обратного смещения, подаваемого на р-n-переход на основе
Hg1-xCdxTe состава х > 0,3 в начальный момент процесса накопления равна 3 В. Пусть площадь фоточувствительных р-n-переходов А = 20 х 20 мкм2, а расстояние между ними составляет 20 мкм. Площади электродов, образующих емкости С1 и С2 (см. рис. 1), выберем равными, соответственно,
А = 20 х 5 и 30 х 20 мкм2. Тогда при толщине слоя TiО2 равной 2000 A°, емкости С1 и С2 оказываются равны 0,7 и 4 пФ, соответственно. При этих значениях емкостей С1 и С2 выполняется условие (15), а величина
heff = 0,86h.
Для определенности будем считать, что излучение является монохроматическим с длиной волны 4 мкм. В расчетах примем также, что h = 0,7, g = 0,1 и фоновый ток р-n-переходов намного больше темнового. Для данных параметров матрицы из выражений (13), (21), (24), (25) и (31) легко найти зависимость мощности, эквивалентной шуму NEP, времени накопления tin и максимального числа элементов в строке рассматриваемой матрицы на один усилитель n от угла зрения на фон n и ЭДС шума усилителя En(Sam=Е2n). При расчете пороговых характеристик мы учли увеличение величины NEP в Ц2 раз, связанное с влиянием процессов накопления в ячейках строки на процесс считывания с одной из ячеек этой строки. Результаты расчетов приведены в табл. 1.
Т а б л и ц а 1
Параметры матрицы среднего
ИК-диапазона
| n, град | Еn, нВ/Гц1/2 |
n | tin, мс | NEP·1013, Вт |
|---|---|---|---|---|
| 90 | 10,0 | 570 | 9,6 | 8,55 |
| 60 | 11,5 | 650 | 19,2 | 4,27 |
| 45 | 15,0 | 650 | 32,8 | 2,5 |
Из табл. 1 видно, что использование накопительных элементов на основе тонких слоев TiО2, выращенных золь-гель-методом [30], позволяет создать полноформатную фокальную матрицу среднего ИК-диапазона, время накопления фотосигнала в которой достигает величины порядка постоянной времени человеческого глаза при рабочей температуре, обеспечивающей BLIP-режим. Отметим, что рассчитанные времена накопления получены при толщине слоя TiО2 равной 2000 A° и больших углах зрения на фон, поэтому можно надеяться, что при повышении рабочей температуры рассматриваемой фокальной матрицы до уровня термоэлектрического охлаждения время накопления фотосигнала и пороговые характеристики матрицы все еще будут достаточно высокими.
Рассмотрим теперь параметры HgCdTe матриц на спектральный диапазон 8-10 мкм. Предположим, что величина обратного смещения, подаваемого в начальный момент накопления на р-n-переход, равна 0,5 В [20]. Пусть площадь фоточувствительных р-n-переходов и расстояние между ними имеют те же значения, что и в предыдущем случае. Площади электродов, образующих емкости С1 и С2 (см. рис. 1), удобно выбрать равными, соответственно, А1 = 7 х 5 и A2 = 30 х 20 мкм2. Тогда при толщине слоя ТiO2, равной 1000 A°, емкости С1 и С2 примерно равны 0,5 и 8 пФ, соответственно. При этих значениях емкостей С1 и С2 выполняются условия (15) и (17), а величина heff = 0,94h . Для простоты падающее излучение будем считать монохроматическим с длиной волны 10 мкм, а значения величин h = 0,7 и g = 0,1. Будем также считать, что неравенство (22) выполнено. Результаты расчета параметров такой матрицы по формулам (13), (21), (24), (25) и (31) с учетом ухудшения пороговых характеристик, связанного с влиянием процессов накопления на процессы считывания, представлены в табл. 2.
Т а б л и ц а 2
Параметры матрицы длинноволновогоИК-диапазона
| n, град | Еn, нВ/Гц1/2 |
n | tin, мс | NEP·1013, Вт |
|---|---|---|---|---|
| 60 | 9,5 | 132 | 160 | 11,8 |
| 45 | 13,0 | 128 | 273 | 6,9 |
| 30 | 19,0 | 129 | 597 | 3,2 |
Из табл. 2 видно, что использование накопительных элементов на основе тонких слоев ТiO2, выращенных золь-гель-методом, позволяет создать фокальную матрицу диапазона 8-10 мкм, по меньшей мере формата 256 х 256 элементов с временем накопления фотосигнала порядка сотен микросекунд при достаточно больших углах зрения на фон и рабочей температуре вблизи 77 К. Однако диэлектрическая проницаемость ТiO2 недостаточно велика для обеспечения времени накопления порядка постоянной времени человеческого глаза в фокальной матрице длинноволнового ИК- диапазона.
Таким образом мы показали, что архитектура матрицы, рассматриваемая в данной статье, является более перспективной и многообещающей по сравнению с традиционным построением фокальных матриц, и в принципе позволяет реализовать крупноформатную матрицу с большим временем накопления - порядка постоянной времени человеческого глаза.
В заключение отметим, что наиболее перспективным фоточувствительным элементом для построения рассмотренной фокальной матрицы длинноволнового ИК- диапазона является фотодиод из Hg1-xCdxTe состава х > 0,2 на основе p+-n-перехода, который в принципе должен обладать уникально низкими темновыми обратными токами и высоким напряжением пробоя, Этот вывод подтверждают результаты работы [4], в которой приведены характеристики матриц на основе р+-n-фотодиодов из CdxHg1-xТе состава x > 0,2.
Л и т е р а т у р а
- K h r y a p o v V. T., P o n o m a r e n k o V. P., B u t k e v i c h V. Y., T a u b k i n I. I., S t a f e- e v V. I., P o p o v S. A., O s i p o v V. V. Optical Sensors. // Optical Engineering. 1992. N 31(4), Р. 678-684.
- K o z l o w s k i L. J., B a i l e y R. B., C a b e l l y S. A., C o p p e r D. E., G e r g i s I. S., A n n i e C h i - Y i C h e n, M c L e v i g e W. U., B o s t r u p G. L., V u r a l K., T e n n a t P. E., H o- w a r d P. E. High-Performance 5 mm 640 x 480 HgCdTe-on Saphire Focal Plane Arrays//Ibid. 1994. N 33(1), Р. 54-63.
- D e W a m e s R. E., A r i a s J. M., K o z l o w s k i L. J., W i l l i a m s G. M. An Assessment of HgCdTe and GaAs/AlGaAlAs Technologies for LWIR Infrared Imagers//PROC. SPIE., Infrared Detectors State of the Art. 1992. N 1735, Р. 2-16.
- A r i a s J. M., P a s k o J. G., Z a n d i a n M., K o z l o w s k i L.J., D e W a m e s R. E. Molecular Beam Epitaxy HgCdTe Infrared Photovoltaic Detectors//Optical Engineering. 1994. N 33(5). Р. 1422-1428.
- K a n n o Т., W a d a H., N a g a s h i m a M., W a k a y a m a H., A w a m o t o К., K a j i h a r a N., I t o Y., N a k a m u r a M. A 256 x 256 Element HgCdTe Hybrid IR FPA for 8-10 mm Band//PROC. SPIE. 1995. N 2552, Р. 384-391.
- F o w l e r A. M., G a t l e y I., V r b a F. J., A b i e s H. D., H o f f m a n A., W o l a w a y J. Next Generation in InSb Arrays: ALADDIN the 1024 x 1024 InSb Focal Plane Array Development Project Status Report//Ibid, 1995. N 2198, Р. 623-629.
- G u n a p a l a S. D., P a r k J i n S., S a r u s i G., L i n T.-L., L i u J. K., M a k e r P. D., M u l l e r R. E., S h o t t C. A., H o e l t e r T. 15-mm 128 x 128 GaAs/AlxGa1-xAs quantum well infrared photodetector focal plane array camera//IEEE transaction on electron devices. 1997. N 44(1), Р. 45-50.
- G u n a p a l a S. D., L i u J. K., P a r k J. S., S u n d r a m M., S h o t t C. A., H o e l t e r T., L i n T.-L., M a s s i e S. T., M a k e r P. D., M u l l e r R. E., S a r u s i G. 9-mm cut off 256 x х256 GaAs /AlxGa1-xAs quantum well infrared photodetector hand held camera//IEEE transaction on electron devices. 1997. N 44(1), Р. 51- 57.
- A k i y a m a A., S a s a k i T. 1024 x 1024 Infrared Charge Sweep Device Imager with PtSi Shottky-barrier Detectors//Optical Engineering. 1994. N 33(1), Р. 64-70.
- T s a u r B. Y., C h e n C. K., M a r i n o S. A. Long Wavelength Geх.Si1-х/Si Heterojunction Infrared Detectors and Focal Plane Arrays//PROC. SPIE. 1991. N 1540. Р. 580-595.
- B u t l e r N., B l a c k w e l l R., M u r p h y R., S i l v a R., M a r s h a l l C. Low Cost Uncooled Microbolometer Imaging System for Dual Use//Ibid. 1995. N 583-591.
- P e o p l e R., B e a n J. C., B a t h e a C. G., S p u t z S. K., P e t i c o l a s L. J. Broad Band (8-10) mm Normal Incidence Pseudomorphic GexS1-x/Si Strained Layer Infrared Photodetector Operating Between 20 and 70 К//Appl. phys. lett. 1992. N 61(9), Р. 1122-1124.
- P a r k J. S., K a r u n a s i r i R. P. S., M i l l Y. J., W a n g K. L. Hole Intersubband Absorption in d-doped Multiple Si Layers//Ibid. 1991. N 58(10). Р. 1083 -1085.
- V a g h j i a n i H. L., J o n s o n E. A., K a n e M. J., G r e y R., P h i l i p s C. C. GaAs Asymmetrically Doped n-i-p-i Superlattices for 10 mm Infrared Subband Detector and Modulator Applications.// J. Appl. Phys. 1994. N 76(7). Р. 4407-4412.
- C h i s h k o V. F., K h r y a p o v V. T., K a s a t k i n I. L., O s i p o v V. V., S m o l i n O. V. High- Sensitivity Photoresistors Based on Homogeneous Рb1-xSnxТе : In Epitaxial Films//Infrared Physics. 1992. N 33. Р. 197-201.
- R o g a l s k i A. New Trends in Semiconductor Infrared Detectors//Optical Engineering. 1994. ь 33(5), Р. 1395-1412.
- K a n n o Т., S a g a M., K a j i h a r a N., A w a m o t o К., S u d o G., I t o Y., I s h i z a k i H. Development of LPE Grown HgCdTe 64 x 64 FPA with a Cutoff Wavelength of 10.6 mm.//PROC. SPIE., Infrared Technology XIX. 1993. N 2020. Р. 49-56.
- W a n g S. C. H., D u d o f f G., J o s t S., R o u s s i s J., V o e l k e r J., W i n n M., W y m a n T. High Performance Longwave Infrared Scanning Focal Plane Arrays for Surveillance Applications.//Ibid, 1994. N 2225. Р. 335-349.
- A j i s a v a A., O d a N. Improvement in HgCdTe Diode Characteristics by Low Temperature Post - Implantation Annealing//Journal of Electronic Materials. 1995. N 24(9). Р. 1105- 1111.
- B o u c h u t P h., G u i l l o t S., P o r n i n J. L., R a m b a n d P h., G o t t u D. HgCdTe Photovoltaic Linear Array for The Cassini Infrared Spectrometer//PROC. SPIE 1994. N 2225. Р. 360-368.
- L e v i n e B. F. Quantinum-Well Infrared Photodetectors//J. Appl. Phys. 1993. N 74. Rl - R81.
- R o g a l s k y A. GaAs/AlGaAs Quantinum Well Photoconductors Versus HgCdTe Photodiodes for Long Wavelength Infrared Application.//PROC. SPIE. 1994. N 2225. Р. 118-129.
- E d i t e d b y H o w e s M. J., M o r g a n D. V. Charge-Coupled Device and Systems. John Willey and Sons. - Chichester, New York, Brisbane, Toronto, 1979.
- S e q u i n C. H., T o m p s e t t M. F. Charge Transfer Devices. Academic Press INC. - New York, San Francisco, London, 1975.
- C h a o - W e n W u, H a o - H s i u n g L i n. Two Dimensional Simulation on The Electric Field Spike of Indium Antimonide Charge Injection Devices//Solid State Electronics. 1990. N 33(9). Р. 1169-1178.
- W a d s w o r t h M. V., B o r r e l l o S. R., D o d g e J., G o o c h R., M c C a r d e l W., N a d o G., S h i l h a n e k M. D. Monolithic CCD Imagers in HgCdTe//IEEE transaction on electron devices. 1995. N 42(2). Р. 244-250.
- C h e n M. C., C o l o m b o L. Minority Carrier Lifetime in Indium Doped n-type Hg0,78Cd0,22Te Li- quid- Phase Epitaxial Films//J. Appl. Phys. 1992. N 72(10). Р. 4761-4766.
- W i j e w a r n a s u r i y a P. S., L a n g e M. D., S i v a n a n t h a n S., F a u r i l J. D. Carrier Recombination in Indium Doped HgCdTe (211) В Epitaxial Layers Grown by Molecular Beam Epitaxy.//Ibid. 1994. N 75(2). Р. 1005-1009.
- A b e Y., F u k i d a T. Ti02 Thin Films Formed by Electron Cyclotron Resonance Plasma Oxidation at High Themperature and Their Application to Capacitor Dielectrics//Ipn. J. Appl. Phys. 1994. N 33 (9A). Part 2. L1248- L1250.
- V o r o t i l o v K. A., O r l o v a E. V., P e t r o v s k y V. I. Sol-Gel Ti02 Films on Silicon Substrates//Thin Solid Films. 1992. N 207. Р. 180-184.
- М о р о з о в В. А., О с и п о в В. В., С е л я к о в А. Ю., Т а у б к и н И. И. Интегральный матричный приемник нового типа на основе InSb//Микроэлектроника. 1996. Т. 25. N 3. С. 163-175.
- C h a o - W e n W u, W e n J a c k W u, H a o - H s i u n g L i n, J i n g H w a L i n, K o u - C h e n L i u, T a i - P i n g S u n, Y e n - M i n g P a n n, S h e n g - J e n n Y a n g. A Novel CID Emulator for InSb Ar- ray//PROC. SPIE. 1992. N 1685. С. 334-344.
- E d i t e d b y J e s p e r s P. S., V a n d e W i e l e F., W h i t e M. H. Solid State Imaging. Noordhoff International Publishing, Leyden, 1976.
- B h a n R. K., G o p a l V. Analysis of Surface Leakage Current Due to Zener Tunneling in HgCdTe Photovoltaic Diodes//Semiconductor Science Technology. 1994. N 9. С. 289-297.
- A d a r R., N e m i r o v s k y Y., K i d r o n I. Bulk Tunneling Contribution to the Reverse Breakdown Charasteristics of The InSb Gate Controlled Diodes//Solid State Electronics. 1987. N 30. Р. 1289-1293.
- П а с е к о в В. Ф. Экспериментальное подтверждение модели туннельных избыточных токов в р-п- переходах на антимониде индия// Физика и техника полупроводников, 1989. Т. 23. Вып. 3. С. 559-562.
- К е р н е р Б. С., О с и п о в В. В., С м о л и н О. В., С у х а н о в А. Н., Т а у б к и н И. И. О механизме избыточных токов в р-п-переходах// Там же, 1986. Т. 20. Вып. 9. С. 1739-1742.
- К е р н е р Б. С., С е л я к о в А. Ю., С у х а н о в А. Н. Теория локальной туннельной генерации носителей в р-п-переходах на основе узкозонных полупроводников// Там же, 1990. Т. 24. Вып. 8. С. 1455-1461.
- А с т а х о в В. П., Д у д к и н В. Ф., К е р н е р Б. С., О с и п о в В. В., С м о л и н О. В., Т а у б к и н И. И. Механизмы взрывного шума р-п-переходов// Микроэлектроника, 1989. Т. 18. N 5. С. 455-463.
- S z e S. M. Physics of Semiconductor Devices. A Wiley-Interscience Publication. John Wiley & Sons. New York, Chichester. - Brisbane, Toronto, Singapore, 1981.
- E d i t e d b y K e y e s R. J. Optical and Infrared Detectors. Springer-Verlag. Berlin, Heidelberg, New York, 1980.
- D o s t a l J. Operational Amplifiers. Elsevier Scientific Publishing Company, Amsterdam, Oxford, New York, 1981.
- S u k h a n o v A. N., O s i p o v V. V., M a m e d o v I. M. Influence of low-frequency 1/f noise on threshold characteristics of photodetectors with charge accumulation// Infrared Phys. 1992. N 33(6). Р. 451-457.
- V o r o t i l o v К. A., Y a n o v s k a y a M. I., S o l o v j e v a L. I., V a l e e v A. S., P e t r o v s k y V. I., V a s i l j e v V. A., O b v i n z e v a I. E. Ferroelectric Capasitors for Integrated Circuits// Microelectronic Engineering, 1995. N 29. Р. 41-44.
- N e v i l l e R. C., H o e n e i s e n B., M e a d C. A. Permittivity of strontium titanate// J. Appl. Phys. 1972. N 43(5). Р. 2124-2131.
ULTIMATE PERFORMANCE OF NEW INFRARED HgCdTe FOCAL
PLANE ARRAYS
V.V. Osipov, V.P. Ponomarenko, A.Yu. Selyakov
The State Unitary Enterprise “RD&P Centrе “Orion”, Moscow, Russia
We theoretically study physical processes in new promising hybrid IR FPAs based on HgCdTe p-n-junctions and analyze them ultimate performance for 3–5 and 8–10 mm spectral ranges. Architecture of these FPAs are much simpler than that of existing FPAs: IR-sensitive HgCdTe p–n-junctions are used as switches themselves, and capacitors used as storage elements occupy all the area under each p-n-junction. These capacitors can be produced on the base of dielectrics with relatively high permittivity (of TiО2 type or integrated ferroelectrics). In contrast to CCD and CID, the proposed FPA does not use charge transfer between electrodes separated in space. We formulate requirements to the parameters of photosensitive elements and storage capacitors to reach the largest integration time and threshold characteristics close to the theoretical limit. It is shown that in principle the considered FPAs have unique parameters and 1/f noise of amplifiers can be suppressed in them. FPA for 3-5 mm spectral range with p-n-junction of 20х20 mm2 area can operate in BLIP mode at background temperature 300 K; its photosignal integration time equal to the persistence of human eye and format can reach 1024x1024 pixels. For 8–10 mm range these parameters are 300 ms and 256x256 pixels, respectively, when TiО2 storage capacitors are used.